Page 111 - ผลกระทบระยะยาวของการปลูกยางพาราต่อสมบัติดินและความหลากหลายทางชีวภาพในดิน Long Term Impact of Rubber Plantation on Soil Properties and Biodiversity
P. 111
ห้องสมุดกรมพัฒนาที่ดิน
78 77
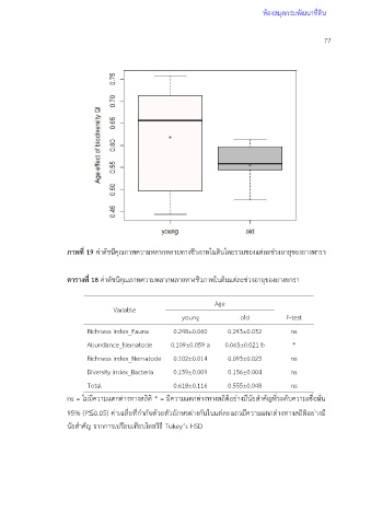
ภาพที่ 19 ค่าดัชนีคุณภาพความหลากหลายทางชีวภาพในดินโดยรวมของแต่ละช่วงอายุของยางพารา
ตารางที่ 18 ค่าดัชนีคุณภาพความหลากหลายทางชีวภาพในดินแต่ละช่วงอายุของยางพารา
Age
Variable
young old F-test
Richness index_Fauna 0.248±0.060 0.243±0.032 ns
Abundance_Nematode 0.109±0.059 a 0.063±0.021 b *
Richness index_Nematode 0.102±0.014 0.093±0.023 ns
Diversity index_Bacteria 0.159±0.009 0.156±0.004 ns
Total 0.618±0.116 0.555±0.048 ns
ns = ไม่มีความแตกต่างทางสถิติ * = มีความแตกต่างทางสถิติอย่างมีนัยสำคัญที่ระดับความเชื่อมั่น
95% (P0.05) ค่าเฉลี่ยที่กำกับด้วยตัวอักษรต่างกันในแต่ละแถวมีความแตกต่างทางสถิติอย่างมี
นัยสำคัญ จากการเปรียบเทียบโดยวิธี Tukey’s HSD

